Contact: +91-9440447076
Home
About us
Annual Reports
List of Beneficiaries
Gallery
Contact us
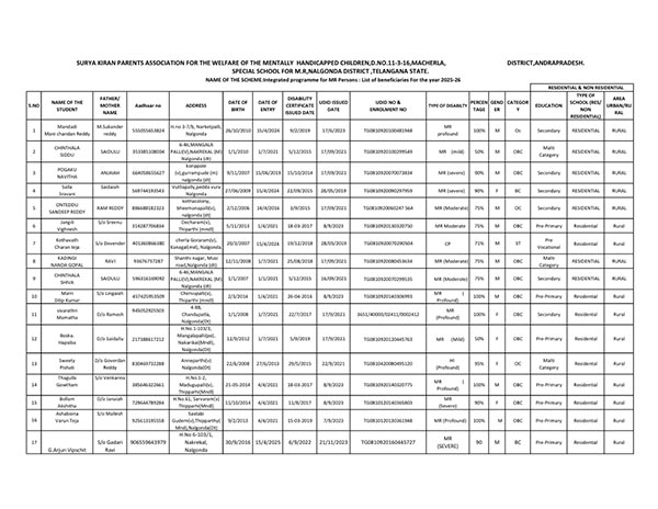
List of Beneficiaries
Nalgonda Beneficiaries 2025 - 2026
Karampudi
Macherla
Nalgonda
Pidugurala
SURYA KIRAN PARENTS ASSOCIATION
Contact US
WELFARE OF THE MENTALLY HANDICAPPED CHILDREN
@ 2021 - SURYA KIRAN PARENTS ASSOCIATION